加入收藏 您好,维百奥生物为您提供专业、专心的产品和服务! | MALL-EN | 中文商城
购物指南 支付方式 配送方式 企业QQ:1877748443 一级特黄AAA大片在线观看 电子邮箱:[email protected]
咨询请直拨:136-9140-9741 / International: +86-13691409741
全国免费热线:400-001-2615
 我的询价单 会员中心
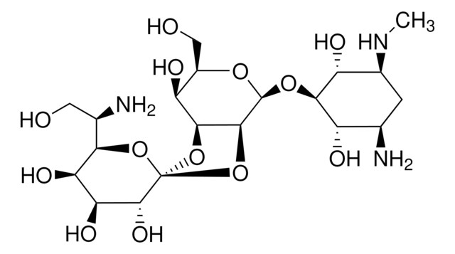
产品名称 Sigma V900372 潮霉素B 来源于吸水链霉菌 | 31282-04-9
货号: V900372 规格: 250mg;100g
品牌: Sigma-Aldrich 价格:
产品分类: 特价奥特莱斯专区 研究领域:
CAS编号: 分子量:
分子式: 别名:
储存条件: 运输条件:
货期: 应用:
说明书: 备注:
产品描述


235.png

产品信息

品名:潮霉素B 来源于吸水链霉菌

别名:Hygrovetine

品牌:Sigma-Aldrich

货号:V900372

规格:250mg;100g


产品属性

CAS号31282-04-9solubilityH2O: 50 mg/mL
分子式C20H37N3O13product lineVetec™
分子量527.52antibiotic activity spectrumviruses
MDL numberMFCD06795479storage2-8°C


产品应用

An engineered Streptomyces hygroscopicus aph 7 gene mediates dominant resistance against hygromycin B in Chlamydomonas reinhardtii:本文说明潮霉素B抗性基因在基因工程中的应用,促进藻类研究和生物燃料生产,体现潮霉素B在基因工程和筛选方案中的广泛用处(Berthold P et al., 2002)。


生化/生理作用

作用机制:本品通过诱导原核生物中m-RNA模板的误读,抑制蛋白质合成,具有抑制翻译的作用。

抗菌谱:潮霉素B对细菌、真菌和高等真核细胞有抑制作用。



分享到:
批量询价
相关产品
选择 产品名称 货号 规格 品牌 分类 研究领域 目录价 操作
Sigma C6905 β-酪蛋白 来源于牛奶(β-Casein from bovine milk) | 9000-71-9 C6905 250mg;1g 询价
Sigma T0625 牛磺酸(Taurine) | 107-35-7 T0625 10mg;10g;25g;100g;500g;1kg 询价
Sigma 57310 吲哚丁酸(Indole-3-butyric acid) | 133-32-4 57310 5g;25g;100g 询价
Sigma I5386 吲哚丁酸(Indole-3-butyric acid) | 133-32-4 I5386 1g;5g;25g 询价
Sigma M2069 D-(+)-甘露糖(D-(+)-Mannose) | 3458-28-4 M2069 25g;100g;100g;500g 询价
Sigma M6020 D-(+)-甘露糖(D-(+)-Mannose) | 3458-28-4 M6020 25g;100g;500g 询价