加入收藏 您好,维百奥生物为您提供专业、专心的产品和服务! | MALL-EN | 中文商城
购物指南 支付方式 配送方式 企业QQ:1877748443 一级特黄AAA大片在线观看 电子邮箱:[email protected]
咨询请直拨:136-9140-9741 / International: +86-13691409741
全国免费热线:400-001-2615
 我的询价单 会员中心
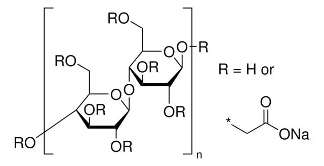
产品名称 Sigma C4888 羧甲基纤维素 钠盐(Carboxymethylcellulose sodium salt) | 9004-32-4
货号: C4888 规格: 500g;1kg;2.5kg
品牌: Sigma-Aldrich 价格:
产品分类: 特价奥特莱斯专区 研究领域:
CAS编号: 分子量:
分子式: 别名:
储存条件: 运输条件:
货期: 应用:
说明书: 备注:
产品描述


179.png

产品信息

品名:羧甲基纤维素 钠盐

别名:羧甲基纤维素钠

品牌:Sigma-Aldrich

货号:C4888

规格:500g;1kg;2.5kg


产品描述

该产品是一种中粘度羟甲基化纤维素(CMC);水中国2%溶液的粘稠时在25C时是400-800厘泊(cps)。粘度与浓度和温度有关。当温度上升,粘稠度下降。当浓度增大,粘稠度增加。

低,中,高粘度CMC都可用作悬浮剂。低粘度CMC通常用作“稀”水溶液。 中等粘度CMC可使溶液像糖浆一样粘稠。 高粘度CMC用于制备类似于乳膏或乳液的混合物。


产品属性

CAS号9004-32-4mp> 300.05  °C ((> 572.09 °F ))
biological sourcewood (pulp)formpowder
colorlight yellowsolubilitywater: soluble
MDL numberMFCD00081472cation tracesNa: 6.5-9.5%


产品应用

可使用不同粘度的可溶性羧甲基纤维素(CM-纤维素; CMC)作为粘度调节剂(增稠剂),以稳定乳液并作为油和其他碳结构(如纳米管)的化学分散剂。CMC用于开发生物结构产品,如生物膜、乳液和纳米颗粒药物递送系统。 羟甲基化纤维素,中粘度,可以用来使溶液有糖浆的稠度


制备说明

该产品在水中可溶(20mg/ml)

将羟甲基化纤维素溶解的关键是仔细地将固体加入水中,这样使它能够分散均匀(充分湿润)。可能需要将固体分批添加至水中。 将水添加至干燥固体中会产生难以溶解的固体“团块”;因此必须将固体添加至水中。轻轻搅拌或间歇摇动;请勿使用磁力搅拌棒不断搅拌。无需高温,高温实际上可能减慢溶解过程。混合装置,如产生涡旋的叶轮型搅拌器,可将粉末卷入液体中,但是它可能会对粉末产生一些剪切作用。


分享到:
批量询价
相关产品
选择 产品名称 货号 规格 品牌 分类 研究领域 目录价 操作
Sigma C6905 β-酪蛋白 来源于牛奶(β-Casein from bovine milk) | 9000-71-9 C6905 250mg;1g 询价
Sigma T0625 牛磺酸(Taurine) | 107-35-7 T0625 10mg;10g;25g;100g;500g;1kg 询价
Sigma 57310 吲哚丁酸(Indole-3-butyric acid) | 133-32-4 57310 5g;25g;100g 询价
Sigma I5386 吲哚丁酸(Indole-3-butyric acid) | 133-32-4 I5386 1g;5g;25g 询价
Sigma M2069 D-(+)-甘露糖(D-(+)-Mannose) | 3458-28-4 M2069 25g;100g;100g;500g 询价
Sigma M6020 D-(+)-甘露糖(D-(+)-Mannose) | 3458-28-4 M6020 25g;100g;500g 询价