加入收藏 您好,维百奥生物为您提供专业、专心的产品和服务! | MALL-EN | 中文商城
购物指南 支付方式 配送方式 企业QQ:1877748443 一级特黄AAA大片在线观看 电子邮箱:[email protected]
咨询请直拨:136-9140-9741 / International: +86-13691409741
全国免费热线:400-001-2615
 我的询价单 会员中心
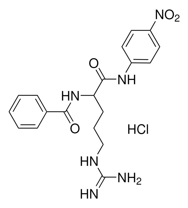
产品名称 Sigma B4875 Nα-苯甲酰-DL-精氨酸 4-基苯酰胺 盐酸盐 | 911-77-3
货号: B4875 规格: 100mg;500mg;1g;5g;10g
品牌: Sigma-Aldrich 价格:
产品分类: 特价奥特莱斯专区 研究领域:
CAS编号: 分子量:
分子式: 别名:
储存条件: 运输条件:
货期: 应用:
说明书: 备注:
产品描述


157-B4875.jpg

产品信息

品名:Nα-苯甲酰-DL-精氨酸 4-基苯酰胺 盐酸盐

别名:Nα-苯甲酰-DL-精氨酸p-基苯酰胺 盐酸盐, BANI, BAPNA

品牌:Sigma-Aldrich

货号:B4875

规格:100mg;500mg;1g;5g;10g


产品描述

Nα-苯甲酰基-DL-精氨酸4-硝基苯胺盐酸盐(DL-BAPNA)是胰蛋白酶、酰胺酶和balterobin(类凝血酶)等蛋白水解酶的发色底物。DL-BAPNA的精氨酸和对硝基苯胺基团之间的键水解释放可通过比色法测定的对硝基苯胺发色团。 生色胰蛋白酶底物。


产品属性

CAS号911-77-3assay≥98%
分子式C19H22N6O4.HClformpowder
分子量434.88colorwhite to light yellow to light brown
MDL numberMFCD00012846solubilityDMSO: 50 mg/mL (colorless to dark green-yellow to dark brown-yellow)


产品应用

Nα-苯甲酰基-DL-精氨酸4-硝基苯胺盐酸盐已用作胰蛋白酶和弹性蛋白酶的酶分析底物



分享到:
批量询价
相关产品
选择 产品名称 货号 规格 品牌 分类 研究领域 目录价 操作
Sigma C6905 β-酪蛋白 来源于牛奶(β-Casein from bovine milk) | 9000-71-9 C6905 250mg;1g 询价
Sigma T0625 牛磺酸(Taurine) | 107-35-7 T0625 10mg;10g;25g;100g;500g;1kg 询价
Sigma 57310 吲哚丁酸(Indole-3-butyric acid) | 133-32-4 57310 5g;25g;100g 询价
Sigma I5386 吲哚丁酸(Indole-3-butyric acid) | 133-32-4 I5386 1g;5g;25g 询价
Sigma M2069 D-(+)-甘露糖(D-(+)-Mannose) | 3458-28-4 M2069 25g;100g;100g;500g 询价
Sigma M6020 D-(+)-甘露糖(D-(+)-Mannose) | 3458-28-4 M6020 25g;100g;500g 询价