加入收藏 您好,维百奥生物为您提供专业、专心的产品和服务! | MALL-EN | 中文商城
购物指南 支付方式 配送方式 企业QQ:1877748443 一级特黄AAA大片在线观看 电子邮箱:[email protected]
咨询请直拨:136-9140-9741 / International: +86-13691409741
全国免费热线:400-001-2615
 我的询价单 会员中心
产品名称 Sigma A6419 腺苷 5′-三磷酸 二钠盐 水合物 | 34369-07-8
货号: A6419 规格: 1g;5g;10g
品牌: Sigma-Aldrich 价格:
产品分类: 特价奥特莱斯专区 研究领域:
CAS编号: 分子量:
分子式: 别名:
储存条件: 运输条件:
货期: 应用:
说明书: 备注:
产品描述


38.png

产品信息

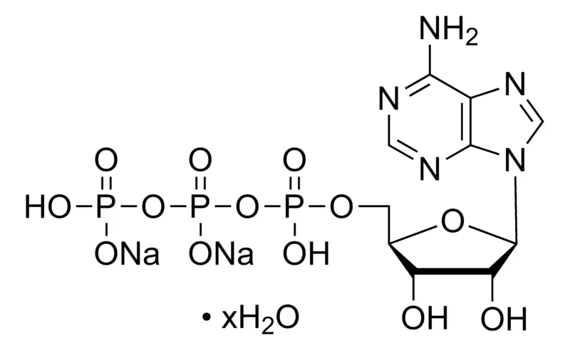
品名:腺苷 5′-三磷酸 二钠盐 水合物

别名:ATP 二钠盐

品牌:Sigma-Aldrich

货号:A6419

规格:1g;5g;10g


产品描述

腺苷5′-三磷酸(ATP)在生物过程,包括神经传递,信号传导,肌肉收缩和心脏功能中是最基础的物质。ATP是活系统主要能量来源。[5]细胞在压力下释放ATP,在免疫应答中有重要作用。[6]ATP从受伤的神经释放,随后断裂产生腺苷。[7]ATP可用作麻醉和危重医学疼痛管理的治疗选择。[5]ATP水平升高意味着细胞损伤和炎症。


产品属性

CAS号34369-07-8assay≥99% (HPLC)
分子式C10H14N5Na2O13P3聽路 xH2Oformpowder
分子量551.14 (anhydrous basis)solubilityH2O: 50 mg/mL
MDL numberMFCD00150755technique(s)cell culture | mammalian: suitable


产品应用

● 寄生物内CRISPR/Cas9质粒转换的转染组分

● 骨髓衍生巨噬细胞炎症激活分析

● 次级巨噬细胞核酸合成



分享到:
批量询价
相关产品
选择 产品名称 货号 规格 品牌 分类 研究领域 目录价 操作
Sigma C6905 β-酪蛋白 来源于牛奶(β-Casein from bovine milk) | 9000-71-9 C6905 250mg;1g 询价
Sigma T0625 牛磺酸(Taurine) | 107-35-7 T0625 10mg;10g;25g;100g;500g;1kg 询价
Sigma 57310 吲哚丁酸(Indole-3-butyric acid) | 133-32-4 57310 5g;25g;100g 询价
Sigma I5386 吲哚丁酸(Indole-3-butyric acid) | 133-32-4 I5386 1g;5g;25g 询价
Sigma M2069 D-(+)-甘露糖(D-(+)-Mannose) | 3458-28-4 M2069 25g;100g;100g;500g 询价
Sigma M6020 D-(+)-甘露糖(D-(+)-Mannose) | 3458-28-4 M6020 25g;100g;500g 询价