加入收藏 您好,维百奥生物为您提供专业、专心的产品和服务! | MALL-EN | 中文商城
购物指南 支付方式 配送方式 企业QQ:1877748443 一级特黄AAA大片在线观看 电子邮箱:[email protected]
咨询请直拨:136-9140-9741 / International: +86-13691409741
全国免费热线:400-001-2615
 我的询价单 会员中心
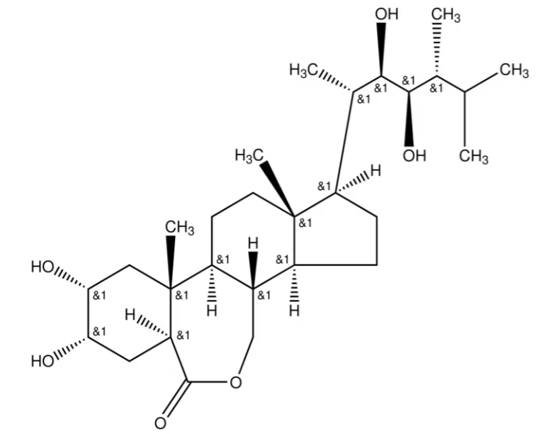
产品名称 Sigma E1641 表油菜素内酯(Epibrassinolide) | 78821-43-9
货号: E1641 规格: 2MG; 10MG
品牌: Sigma-Aldrich 价格:
产品分类: 特价奥特莱斯专区 研究领域:
CAS编号: 78821-43-9 分子量: 480.68
分子式: C28H48O6 别名:
储存条件: 运输条件:
货期: 应用:
说明书: 备注:
产品描述


122-E1641.png


▍ 产品信息

品名:表油菜素内酯

别名:22R,23R,24R-2α,3α,22,23-Tetrahydroxy-B-homo-7-oxa-5α-ergostan-6-one

货号:E1641

品牌:Sigma-Aldrich

规格:2MG; 10MG


▍ 产品属性

CAS号78821-43-9方案≥85%
分子式C28H48O6应用agriculture
分子量480.68储存温度−20°C


产品描述

N-乙酰氨基葡萄糖(GlcNAc)是葡萄糖的衍生物,同时是一种单糖。这是一种白色粉末,略带甜味。其熔点为221°C。 GlcNAc可25%溶于水。它存在于植物的菠萝蛋白酶、蓖麻蛋白凝集素和鸥属凝集素中。在人类体内,它存在于组织纤溶酶原活化剂、生长因子和激素中。


▍ 产品应用

表油菜素内酯已用于:

● Murashige和Skoog(MS)培养基,研究Cappelle-Desprez (rht8)和RIL6 (Rht8)植物子叶和芽长对其响应情况

● 愈伤组织诱导培养基

● 诱导水稻样品叶片倾角基因2 (LC2)表达


分享到:
批量询价
相关产品
选择 产品名称 货号 规格 品牌 分类 研究领域 目录价 操作
Sigma C6905 β-酪蛋白 来源于牛奶(β-Casein from bovine milk) | 9000-71-9 C6905 250mg;1g 询价
Sigma T0625 牛磺酸(Taurine) | 107-35-7 T0625 10mg;10g;25g;100g;500g;1kg 询价
Sigma 57310 吲哚丁酸(Indole-3-butyric acid) | 133-32-4 57310 5g;25g;100g 询价
Sigma I5386 吲哚丁酸(Indole-3-butyric acid) | 133-32-4 I5386 1g;5g;25g 询价
Sigma M2069 D-(+)-甘露糖(D-(+)-Mannose) | 3458-28-4 M2069 25g;100g;100g;500g 询价
Sigma M6020 D-(+)-甘露糖(D-(+)-Mannose) | 3458-28-4 M6020 25g;100g;500g 询价