加入收藏 您好,维百奥生物为您提供专业、专心的产品和服务! | MALL-EN | 中文商城
购物指南 支付方式 配送方式 企业QQ:1877748443 一级特黄AAA大片在线观看 电子邮箱:[email protected]
咨询请直拨:136-9140-9741 / International: +86-13691409741
全国免费热线:400-001-2615
 我的询价单 会员中心
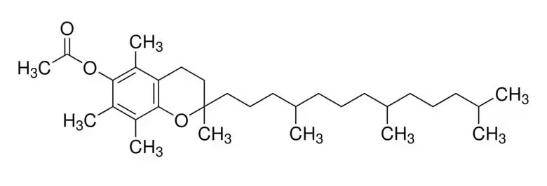
产品名称 Sigma T3376 DL-α-生育酚乙酸酯(DL-α-Tocopherol acetate) | 7695-91-2
货号: T3376 规格: 5G; 25G; 100G
品牌: Sigma-Aldrich 价格:
产品分类: 特价奥特莱斯专区 研究领域:
CAS编号: 7695-91-2 分子量: 472.74
分子式: C31H52O3 别名:
储存条件: 运输条件:
货期: 应用:
说明书: 备注:
产品描述


108-T3376.png


▍ 产品信息

品名:DL-α-生育酚乙酸酯

别名:生育酚乙酸酯, 维生素 E 醋酸酯, Vitamin E acetate, all-rac-α-Tocopheryl acetate

货号:T3376

品牌:Sigma-Aldrich

规格:5G; 25G; 100G


 产品属性

CAS号472.74表单viscous liquid
分子式C31H52O3技术HPLC: suitable
分子量472.74颜色colorless to dark yellow
储存温度2-8°C密度0.96 g/mL at 20 °C (lit.)


▍ 产品描述

α-生育酚是人和动物组织中,以及叶片叶绿体中维生素E的主要形式。其是在保健品中的主要形式。DL-α-生育酚乙酸酯被认为是维生素E的唯一储存形式。


▍ 产品应用

DL-α-生育酚乙酸酯已被用于研究其对链脲佐菌素诱导的糖尿病大鼠的血压和脂质谱的影响。它也被用作使用血浆样品和成熟的新鲜烟叶进行α-生育酚分析的标准品


▍ 生理、生化作用

生育酚(TCP)(维生素E)是一系列手性有机分子(α、β、γ 和 δ),其在苯酚部分的甲基化程度不同。 生育酚是一种脂溶性抗氧化剂,可保护细胞膜免受氧化损伤。Α-生育酚是优先被人类吸收的生育酚的形式。生育酚乙酸酯具有与α-生育酚类似但不同的性质。




分享到:
批量询价
相关产品
选择 产品名称 货号 规格 品牌 分类 研究领域 目录价 操作
Sigma C6905 β-酪蛋白 来源于牛奶(β-Casein from bovine milk) | 9000-71-9 C6905 250mg;1g 询价
Sigma T0625 牛磺酸(Taurine) | 107-35-7 T0625 10mg;10g;25g;100g;500g;1kg 询价
Sigma 57310 吲哚丁酸(Indole-3-butyric acid) | 133-32-4 57310 5g;25g;100g 询价
Sigma I5386 吲哚丁酸(Indole-3-butyric acid) | 133-32-4 I5386 1g;5g;25g 询价
Sigma M2069 D-(+)-甘露糖(D-(+)-Mannose) | 3458-28-4 M2069 25g;100g;100g;500g 询价
Sigma M6020 D-(+)-甘露糖(D-(+)-Mannose) | 3458-28-4 M6020 25g;100g;500g 询价