加入收藏 您好,维百奥生物为您提供专业、专心的产品和服务! | MALL-EN | 中文商城
购物指南 支付方式 配送方式 企业QQ:1877748443 一级特黄AAA大片在线观看 电子邮箱:[email protected]
咨询请直拨:136-9140-9741 / International: +86-13691409741
全国免费热线:400-001-2615
 我的询价单 会员中心
产品名称 Sigma C6288 纤维素(Cellulose) | 9004-34-6
货号: C6288 规格: 100G; 250G; 1KG
品牌: Sigma-Aldrich 价格:
产品分类: 特价奥特莱斯专区 研究领域:
CAS编号: 9004-34-6 分子量:
分子式: 别名:
储存条件: 运输条件:
货期: 应用:
说明书: 备注:
产品描述


4-C6288.png


产品信息

品名:纤维素

别名:棉短绒, 纤维素粉末, Cellulose powder, Cotton linters

品牌:Sigma-Aldrich

货号:C6288

CAS号:9004-34-6

规格:100G; 250G; 1KG


产品描述

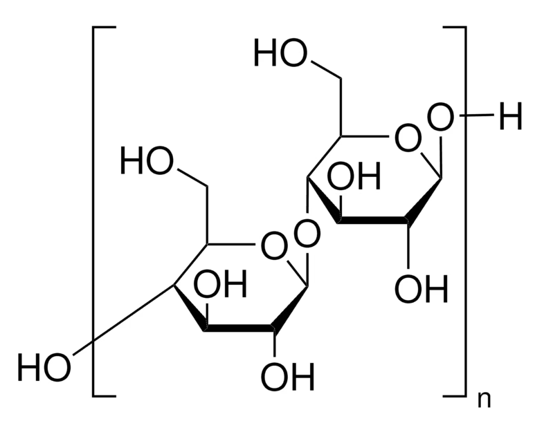
纤维素是一种β不溶于水的-葡聚糖,是植物细胞壁的重要成分。它是一种坚韧的纤维状多糖,其葡萄糖残基的线性链由 β-1,4键相连。 植物大量产生这种生物聚合物。


产品应用

用于分区色谱的高纯度纤维素粉末。纤维素用于:

● 热解过程的生物质分析

● 柱色谱法纯化来自未感染红细胞和白细胞的生物

● 作为傅里叶变换红外光谱(FTIR)的标准品,研究从Hestrin-Schramm(HS)培养基获得细菌纤维素(BC)的构象特征

● 在与饮食相关的动物研究中作为对照品,评估胞外多糖(botryosphaeran)的降胆固醇活性

● 纤维素(中纤维)可用于代谢途径和碳水化合物应用。纤维素已被用于研究生物燃料和生物炼制应用。


生理、生化作用

纤维素有助于维持植物细胞壁结构的稳定性。是棉、亚麻制成纸和织物的重要成分。



分享到:
批量询价
相关产品
选择 产品名称 货号 规格 品牌 分类 研究领域 目录价 操作
Sigma C6905 β-酪蛋白 来源于牛奶(β-Casein from bovine milk) | 9000-71-9 C6905 250mg;1g 询价
Sigma T0625 牛磺酸(Taurine) | 107-35-7 T0625 10mg;10g;25g;100g;500g;1kg 询价
Sigma 57310 吲哚丁酸(Indole-3-butyric acid) | 133-32-4 57310 5g;25g;100g 询价
Sigma I5386 吲哚丁酸(Indole-3-butyric acid) | 133-32-4 I5386 1g;5g;25g 询价
Sigma M2069 D-(+)-甘露糖(D-(+)-Mannose) | 3458-28-4 M2069 25g;100g;100g;500g 询价
Sigma M6020 D-(+)-甘露糖(D-(+)-Mannose) | 3458-28-4 M6020 25g;100g;500g 询价