加入收藏 您好,维百奥生物为您提供专业、专心的产品和服务! | MALL-EN | 中文商城
购物指南 支付方式 配送方式 企业QQ:1877748443 一级特黄AAA大片在线观看 电子邮箱:[email protected]
咨询请直拨:136-9140-9741 / International: +86-13691409741
全国免费热线:400-001-2615
 我的询价单 会员中心
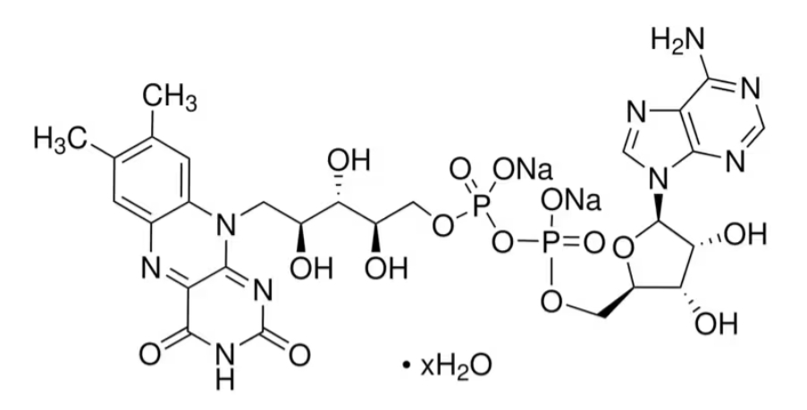
产品名称 Sigma F8384 黄素腺嘌呤二核苷酸 二钠盐 水合物 | 84366-81-4
货号: F8384 规格: 100mg;1g
品牌: Sigma-Aldrich 价格:
产品分类: 特价奥特莱斯专区 研究领域:
CAS编号: 84366-81-4 分子量: 829.51 (anhydrous basis)
分子式: C27H31N9Na2O15P2 · xH2O 别名:
储存条件: 运输条件:
货期: 应用:
说明书: 备注:
产品描述


145-F8384.jpg


产品信息

品名:黄素腺嘌呤二核苷酸 二钠盐 水合物

品牌:Sigma-Aldrich

货号:F8384

规格:100mg;1g


产品属性

CAS号84366-81-4分子式C27H31N9Na2O15P2 · xH2O
MDL编号MFCD08277021分子量829.51 (anhydrous basis)
Beilstein5326842技术cell culture | mammalian: suitable
储存温度−20°C溶解性water: 50 mg/mL, clear
别名FAD, FAD-Na2, 核黄素-5'-腺苷二磷酸 二钠盐, Riboflavin 5′-adenosine diphosphate disodium salt


产品描述

黄素腺嘌呤二核苷酸 (FAD) 是黄素蛋白(如细胞色素b5 还原酶)的氧化还原辅因子。[1]在烟酰胺腺嘌呤双核苷酸磷酸盐 (NADPH) 的协助下, FAD 可以被还原形成FADH2。


产品应用

黄素腺嘌呤二核苷酸二钠盐水合物已被用作植物组织提取用萃取缓冲液的一种成分。[3]它还被用于研究其对小鼠大脑中动脉阻塞(MCAO)的脑梗塞面积的影响。

黄素腺嘌呤二核苷酸(FAD)被用作黄素蛋白的氧化还原辅因子(电子载体),这些黄素蛋白包括琥珀酸脱氢酶(复合物)、α-酮戊二酸脱氢酶、凋亡诱导因子2(AIF-M2,AMID)、叶酸/FAD依赖性tRNA甲基转移酶和N-羟基化黄素蛋白单加氧酶。 FAD是丙酮酸脱氢酶复合物的组分。





分享到:
批量询价
相关产品
选择 产品名称 货号 规格 品牌 分类 研究领域 目录价 操作
Sigma C6905 β-酪蛋白 来源于牛奶(β-Casein from bovine milk) | 9000-71-9 C6905 250mg;1g 询价
Sigma T0625 牛磺酸(Taurine) | 107-35-7 T0625 10mg;10g;25g;100g;500g;1kg 询价
Sigma 57310 吲哚丁酸(Indole-3-butyric acid) | 133-32-4 57310 5g;25g;100g 询价
Sigma I5386 吲哚丁酸(Indole-3-butyric acid) | 133-32-4 I5386 1g;5g;25g 询价
Sigma M2069 D-(+)-甘露糖(D-(+)-Mannose) | 3458-28-4 M2069 25g;100g;100g;500g 询价
Sigma M6020 D-(+)-甘露糖(D-(+)-Mannose) | 3458-28-4 M6020 25g;100g;500g 询价