加入收藏 您好,维百奥生物为您提供专业、专心的产品和服务! | MALL-EN | 中文商城
购物指南 支付方式 配送方式 企业QQ:1877748443 一级特黄AAA大片在线观看 电子邮箱:[email protected]
咨询请直拨:136-9140-9741 / International: +86-13691409741
全国免费热线:400-001-2615
 我的询价单 会员中心
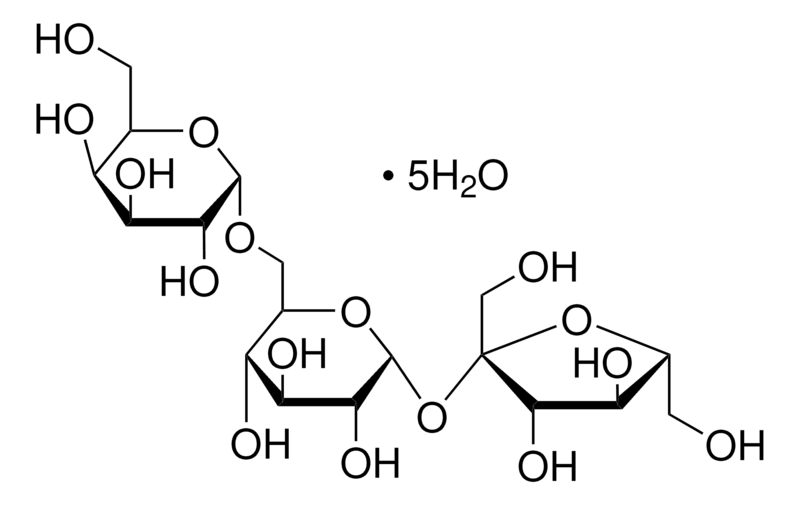
产品名称 Sigma R0250 D-(+)-棉子糖 五水合物 | 17629-30-0
货号: R0250 规格: 25g;100g;500g;1kg
品牌: Sigma-Aldrich 价格:
产品分类: 特价奥特莱斯专区 研究领域:
CAS编号: 17629-30-0 分子量: 594.51
分子式: C18H32O16 · 5H2O 别名:
储存条件: 运输条件:
货期: 应用:
说明书: 备注:
产品描述


144-R0250.png


产品信息

品名:D-(+)-棉子糖 五水合物

品牌:Sigma-Aldrich

货号:R0250

规格:25g;100g;500g;1kg


产品属性

CAS号17629-30-0分子式C18H32O16 · 5H2O
MDL编号MFCD00071590分子量594.51
EC 号208-146-9生物来源plant (Gossypium hirsutum L./Cotton)
Beilstein99541溶解性water: 50 mg/mL, clear, colorless
别名O-α-D-吡喃半乳糖基-(1→6)-α-D-吡喃葡萄糖基β-D-呋喃果糖苷, 蜜三糖, 蜜里三糖,O-α-D-Galactopyranosyl-(1→6)-α-D-glucopyranosyl β-D-fructofuranoside, Melitose, Melitriose


| 生理、生化作用

棉子糖是由半乳糖,果糖和葡萄糖组成的三糖。棉子糖被D-半乳糖苷酶水解成D-半乳糖和蔗糖。






分享到:
批量询价
相关产品
选择 产品名称 货号 规格 品牌 分类 研究领域 目录价 操作
Sigma C6905 β-酪蛋白 来源于牛奶(β-Casein from bovine milk) | 9000-71-9 C6905 250mg;1g 询价
Sigma T0625 牛磺酸(Taurine) | 107-35-7 T0625 10mg;10g;25g;100g;500g;1kg 询价
Sigma 57310 吲哚丁酸(Indole-3-butyric acid) | 133-32-4 57310 5g;25g;100g 询价
Sigma I5386 吲哚丁酸(Indole-3-butyric acid) | 133-32-4 I5386 1g;5g;25g 询价
Sigma M2069 D-(+)-甘露糖(D-(+)-Mannose) | 3458-28-4 M2069 25g;100g;100g;500g 询价
Sigma M6020 D-(+)-甘露糖(D-(+)-Mannose) | 3458-28-4 M6020 25g;100g;500g 询价