加入收藏 您好,维百奥生物为您提供专业、专心的产品和服务! | MALL-EN | 中文商城
购物指南 支付方式 配送方式 企业QQ:1877748443 一级特黄AAA大片在线观看 电子邮箱:[email protected]
咨询请直拨:136-9140-9741 / International: +86-13691409741
全国免费热线:400-001-2615
 我的询价单 会员中心
产品名称 Sigma C9407 胶原酶 来源于溶组织梭菌 | 9001-12-1
货号: C9407 规格: 25mg;100mg;500mg;1g;5g
品牌: Sigma-Aldrich 价格:
产品分类: 特价奥特莱斯专区 研究领域:
CAS编号: 9001-12-1 分子量: -
分子式: - 别名:
储存条件: 运输条件:
货期: 应用:
说明书: 备注:
产品描述


129-C9407.jpg


产品信息

品名:胶原酶 来源于溶组织梭菌

品牌:Sigma-Aldrich

货号:C9407

规格:25mg;100mg;500mg;1g;5g


产品属性

CAS号9001-12-1别名梭菌肽酶 A,Clostridiopeptidase A
MDL编号MFCD00130830生物来源Clostridium histolyticum
EC 号232-582-9比活≥800 units/mg solid
pH值(酸碱度)7.4分子量68-130 kDa
储存温度−20°C技术cell culture | mammalian: suitable


产品描述

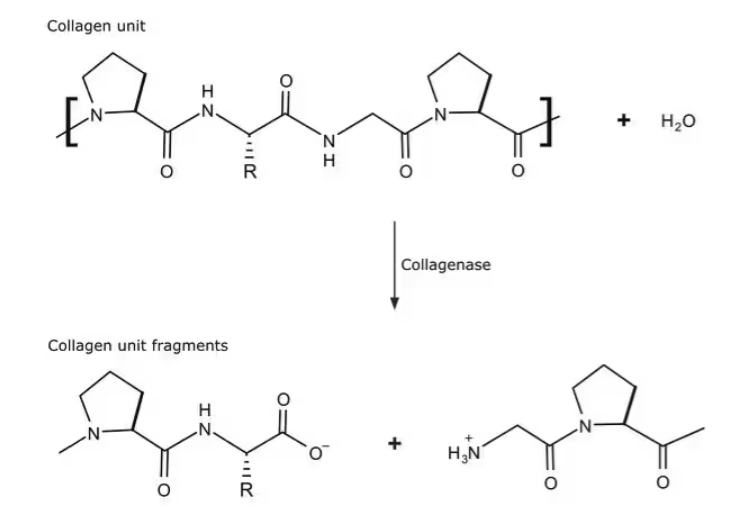
来自溶组织梭状芽胞杆菌的胶原酶具有胶原蛋白结合结构域(CBD)和多囊肾病样(PKD样)结构域。它还具有用于钙的Ca 2+结合位点,这对于其功能至关重要。胶原酶用于治疗结缔组织疾病,Dupuytren挛缩。


产品应用

来自溶组织梭状芽胞杆菌的胶原酶已被用于消化:

● 用于胰岛分离的胰腺样品

● 用于分离肺血管平滑肌细胞(PBMC)的肺动脉样品

● 用于分离软骨细胞的软骨样品

该产品适用于人类肿瘤,小鼠肾脏,人类成人和胎儿的脑、肺和许多其他上皮组织的解聚。 它还被证明适用于肝脏和肾脏灌注研究、胰腺消化、非实质性大鼠肝细胞的分离、以及肝细胞制备。 胶原酶也已用于制备动脉组织,以对晚期糖基化终产物进行研究。 该酶用于(浓度约为1mg/ml)对肝细胞的释放进行检测。 消化浓度范围为0.1至5mg/mL。


| 生理、生化作用

前列腺素E2是由活化血小板产生的信号传导分子。活化血小板释放PGE2是活化血小板利用邻近红细胞帮助血块形成的机制的一部分。本品浓度为10-10sup M时,可使人红细胞的滤过性降低约30%,还能导致平均细胞容积减少约10%。细胞收缩是由于诱导PGE2刺激的K+外排途径,导致细胞K+离子的快速流失。已有研究证明这种K+离子流失与Ca2+有关。已有研究证明PGE2可刺激新生小鼠顶骨产生白细胞介素-6(IL-6)。培养6小时后,用10-8sup M PGE2刺激的细胞比对照组细胞产生的IL-6显著增多。与前列腺素F2α不同,PGE2的致热活性不受地塞米松抑制。

生物活性最强的前列腺素。PGE2 可诱导宫颈成熟和分娩,介导缓激肽诱导的血管舒张,调节腺苷酸环化酶。 过表达环加氧酶2的肿瘤细胞具有更强的侵袭性、血管生成能力和细胞凋亡抵抗性,这可能是由于PGE2诱导的血管生成因子表达以及抗凋亡蛋白survivin的稳定化。PGE2 对免疫系统具有混合效应。它在体外抑制T细胞活化,表明它是一种免疫抑制剂。然而,在体内,它影响Th17亚群的扩增和T辅助细胞Th1亚群的分化,表明它是一种免疫激活剂。


| 单位定义

一个胶原蛋白消化单元(CDU)从牛跟腱胶原蛋白中释放的肽链量和1.0 μ亮氨酸,5小时,pH7.4,37℃,在钙离子存在下的茚三酮颜色相同。一个 FALGPA水解单元每分钟,25℃,水解1.0 μmole 呋喃基丙烯酰-Leu-Gly-Pro-Ala。一个中性蛋白酶单元水解酪蛋白,产生颜色和1.0 μmole 酪氨酸每5小时,pH7.5,37℃下产生的相同。一个梭菌蛋白酶单元在DTT存在下,pH7.6,25℃,每分钟水解1.0 μmole BAEE。


| 制备说明

该产品从Clostridium histolyticum,XI型胶原酶中获得。它具有梭菌蛋白酶,非特异性中性蛋白酶和胰蛋白酶活性。溶液通常是在TESCA缓冲液(含有50mM TES、0.36mM氯化钙,37℃时pH 7.4)中按1-2 mg/mL进行制备。


| 注意

本品在-20°C下可稳定保存一年。在37℃、50℃和-20℃下保存30天,其FALGPA或蛋白酶活性没有损失。粗制胶原酶溶液分装品( 10 mg/mL)经快速冷冻可保持稳定,并且可在-20℃下冷冻保存。进一步冻融循环会损坏溶液。 本品在冰上放置7小时,可保留100%活性。




分享到:
批量询价
相关产品
选择 产品名称 货号 规格 品牌 分类 研究领域 目录价 操作
Sigma C6905 β-酪蛋白 来源于牛奶(β-Casein from bovine milk) | 9000-71-9 C6905 250mg;1g 询价
Sigma T0625 牛磺酸(Taurine) | 107-35-7 T0625 10mg;10g;25g;100g;500g;1kg 询价
Sigma 57310 吲哚丁酸(Indole-3-butyric acid) | 133-32-4 57310 5g;25g;100g 询价
Sigma I5386 吲哚丁酸(Indole-3-butyric acid) | 133-32-4 I5386 1g;5g;25g 询价
Sigma M2069 D-(+)-甘露糖(D-(+)-Mannose) | 3458-28-4 M2069 25g;100g;100g;500g 询价
Sigma M6020 D-(+)-甘露糖(D-(+)-Mannose) | 3458-28-4 M6020 25g;100g;500g 询价