加入收藏 您好,维百奥生物为您提供专业、专心的产品和服务! | MALL-EN | 中文商城
购物指南 支付方式 配送方式 企业QQ:1877748443 一级特黄AAA大片在线观看 电子邮箱:[email protected]
咨询请直拨:136-9140-9741 / International: +86-13691409741
全国免费热线:400-001-2615
 我的询价单 会员中心
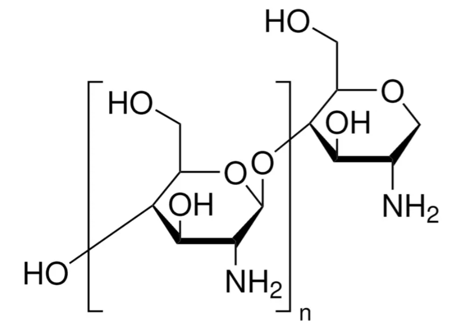
产品名称 Sigma 448869 壳聚糖(Chitosan) | 9012-76-4
货号: 448869 规格: 50g;250g
品牌: Sigma-Aldrich 价格:
产品分类: 特价奥特莱斯专区 研究领域:
CAS编号: 9012-76-4 分子量:
分子式: 别名:
储存条件: 运输条件:
货期: 应用:
说明书: 备注:
产品描述


90-448869.jpg


产品信息

品名:壳聚糖(Chitosan)

品牌:Sigma-Aldrich

货号:448869

规格:50g;250g


产品属性

CAS号9012-76-4
MDL编号MFCD00161512
分子量50,000-190,000 Da (based on viscosity)
粘度20-300 cP, 1 wt. % in 1% acetic acid(25 °C, Brookfield)(lit.)
溶解性dilute aqueous acid: soluble
别名聚(D-氨基葡萄糖), 脱乙酰几丁质,Deacetylated chitin, Poly(D-glucosamine)


产品应用

与多价阴离子形成凝胶。 产生透明溶液,干燥后形成坚固、透明的薄膜。

壳聚糖可用于蛋白质沉淀中的凝聚剂、包封剂和水性增稠剂。


产品特点

生物相容、抗菌和环保的聚电解质,其具有多种应用,包括水处理、色谱法、化妆品添加剂、抗微生物活性的纺织品处理、纺织品的新型纤维、照相纸、可生物降解的薄膜、生物医学装置、以及用于药物递送中控制释放的微胶囊植入物。





分享到:
批量询价
相关产品
选择 产品名称 货号 规格 品牌 分类 研究领域 目录价 操作
Sigma C6905 β-酪蛋白 来源于牛奶(β-Casein from bovine milk) | 9000-71-9 C6905 250mg;1g 询价
Sigma T0625 牛磺酸(Taurine) | 107-35-7 T0625 10mg;10g;25g;100g;500g;1kg 询价
Sigma 57310 吲哚丁酸(Indole-3-butyric acid) | 133-32-4 57310 5g;25g;100g 询价
Sigma I5386 吲哚丁酸(Indole-3-butyric acid) | 133-32-4 I5386 1g;5g;25g 询价
Sigma M2069 D-(+)-甘露糖(D-(+)-Mannose) | 3458-28-4 M2069 25g;100g;100g;500g 询价
Sigma M6020 D-(+)-甘露糖(D-(+)-Mannose) | 3458-28-4 M6020 25g;100g;500g 询价