加入收藏 您好,维百奥生物为您提供专业、专心的产品和服务! | MALL-EN | 中文商城
购物指南 支付方式 配送方式 企业QQ:1877748443 一级特黄AAA大片在线观看 电子邮箱:[email protected]
咨询请直拨:136-9140-9741 / International: +86-13691409741
全国免费热线:400-001-2615
 我的询价单 会员中心
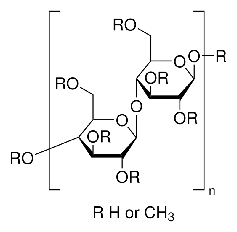
产品名称 Sigma M7027 甲基纤维素(Methyl cellulose) | 9004-67-5
货号: M7027 规格: 100g;250g
品牌: Sigma-Aldrich 价格:
产品分类: 特价奥特莱斯专区 研究领域:
CAS编号: 9004-67-5 分子量:
分子式: 别名:
储存条件: 运输条件:
货期: 应用:
说明书: 备注:
产品描述


72-M7027.png


产品信息

品名:甲基纤维素(Methyl cellulose) 

品牌:Sigma-Aldrich

货号:M7027

规格:100g;250g


产品属性

CAS号9004-67-5
MDL编号MFCD00081763
生物来源synthetic (organic)
粘度12-18 cP, 2 % in H2O(20 °C)
溶解性water: 50 mg/mL, clear to hazy


产品描述

甲基纤维素由纤维素醚化而得。这种醚类纤维素商品具有两亲性及原本的理化特性。甲基纤维素抗酶解、抗消化、无过敏性、无毒性。


产品应用

甲基纤维素可用于制备半固体基质,用作细胞培养凝胶,用于培养集落形成细胞(如CFU-G、CFU-GM)和用于毒性检测的其他细胞。粘度低,不适用于噬菌斑检测或克隆。

甲基纤维素可用于:

● 在经口管饲法中作为药物二甲双胍的溶剂

● 在乳腺球培养中,作为乳腺上皮细胞生长培养基的组分

● 在悬滴法球状体侵袭试验中,作为球状体三维共培养补充剂


| 生理、生化作用

甲基纤维素广泛应用多个行业,在食品业中可用作乳化剂、质感剂、增稠剂和胶凝添加剂。甲基纤维素也可用于各种化妆品和个人护理用品,例如洗发水、头发造型用品、液体皂、沐浴露、乳霜、牙膏,使稠度均匀。此外,它也可作为药物添加剂,生产营养补充剂胶囊。甲基纤维素可替代冻存液中的甘油。它可与培养基添加剂共同作用,增强多系或单系造血祖细胞的增殖和分化。这种纤维素衍生物还可用于防止多种细胞的粘附能力和细胞功能丧失,包括人皮肤成纤维细胞、人黑色素细胞和小鼠肺成纤维细胞悬液。





分享到:
批量询价
相关产品
选择 产品名称 货号 规格 品牌 分类 研究领域 目录价 操作
Sigma C6905 β-酪蛋白 来源于牛奶(β-Casein from bovine milk) | 9000-71-9 C6905 250mg;1g 询价
Sigma T0625 牛磺酸(Taurine) | 107-35-7 T0625 10mg;10g;25g;100g;500g;1kg 询价
Sigma 57310 吲哚丁酸(Indole-3-butyric acid) | 133-32-4 57310 5g;25g;100g 询价
Sigma I5386 吲哚丁酸(Indole-3-butyric acid) | 133-32-4 I5386 1g;5g;25g 询价
Sigma M2069 D-(+)-甘露糖(D-(+)-Mannose) | 3458-28-4 M2069 25g;100g;100g;500g 询价
Sigma M6020 D-(+)-甘露糖(D-(+)-Mannose) | 3458-28-4 M6020 25g;100g;500g 询价