加入收藏 您好,维百奥生物为您提供专业、专心的产品和服务! | MALL-EN | 中文商城
购物指南 支付方式 配送方式 企业QQ:1877748443 一级特黄AAA大片在线观看 电子邮箱:[email protected]
咨询请直拨:136-9140-9741 / International: +86-13691409741
全国免费热线:400-001-2615
 我的询价单 会员中心
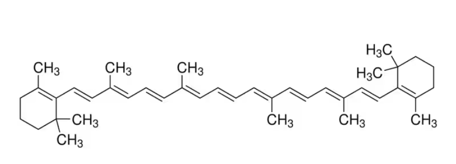
产品名称 Sigma C4582 β-胡萝卜素(β-Carotene) | 7235-40-7
货号: C4582 规格: 5mg;10mg;25mg
品牌: Sigma-Aldrich 价格:
产品分类: 特价奥特莱斯专区 研究领域:
CAS编号: 7235-40-7 分子量: 536.87
分子式: C40H56 别名:
储存条件: 运输条件:
货期: 应用:
说明书: 备注:
产品描述


38-C4582.jpg


产品信息

品名:β-胡萝卜素(β-Carotene)

品牌:Sigma-Aldrich

货号:C4582

规格:5mg;10mg;25mg


产品属性

CAS号7235-40-7分子式C40H56
EC号230-636-6分子量536.87
MDL编号MFCD00001556生物来源synthetic
UNSPSC代码12352212杂质α-carotene, essentially free
溶解性hexane: soluble 100 μg/mL;DMSO: 30 μg/mL;H2O: insoluble
别名β,β-胡萝卜素, 维生素原 A,β,β-Carotene, Provitamin A


| 产品应用

β-胡萝卜素已用于:

● 用作标准品,用于通过HPLC分析对β-胡萝卜素进行定量

● 用作标准品,用于类胡萝卜素基团真实标准品的鉴定和定量

● 测定β-胡萝卜素生产时标准曲线的制备

● 营养测定中的标准曲线制备


| 生理、生化作用

β-胡萝卜素(维生素原A)是类胡萝卜素的成员之一。这种抗氧化剂在人类生理中起着至关重要的作用。β-胡萝卜素是一种丰富的类胡萝卜素。它被认为是维生素A的前体,维生素A是具有维生素E特性的一种脂溶性抗氧化剂。

最重要的维生素原 A。

维生素原 A,即 β-胡萝卜素能分类作为抗氧化剂的最重要的原因就是它可以在体外抑制自由基引发的过氧化。然而,它在体内究竟表现为抗氧化剂或是促氧化剂却取决于细胞环境。它可以降低许多癌症的发病率,却会增加吸烟者患肺癌的几率。






分享到:
批量询价
相关产品
选择 产品名称 货号 规格 品牌 分类 研究领域 目录价 操作
Sigma C6905 β-酪蛋白 来源于牛奶(β-Casein from bovine milk) | 9000-71-9 C6905 250mg;1g 询价
Sigma T0625 牛磺酸(Taurine) | 107-35-7 T0625 10mg;10g;25g;100g;500g;1kg 询价
Sigma 57310 吲哚丁酸(Indole-3-butyric acid) | 133-32-4 57310 5g;25g;100g 询价
Sigma I5386 吲哚丁酸(Indole-3-butyric acid) | 133-32-4 I5386 1g;5g;25g 询价
Sigma M2069 D-(+)-甘露糖(D-(+)-Mannose) | 3458-28-4 M2069 25g;100g;100g;500g 询价
Sigma M6020 D-(+)-甘露糖(D-(+)-Mannose) | 3458-28-4 M6020 25g;100g;500g 询价