加入收藏 您好,维百奥生物为您提供专业、专心的产品和服务! | MALL-EN | 中文商城
购物指南 支付方式 配送方式 企业QQ:1877748443 一级特黄AAA大片在线观看 电子邮箱:[email protected]
咨询请直拨:136-9140-9741 / International: +86-13691409741
全国免费热线:400-001-2615
 我的询价单 会员中心
产品名称 Sigma - C9819 - 硫酸软骨素A 钠盐 来源于牛气管
货号: C9819 规格:
品牌: Sigma-Aldrich 价格:
产品分类: 特价奥特莱斯专区 研究领域:
CAS编号: 分子量:
分子式: 别名:
储存条件: 运输条件:
货期: 应用:
说明书: 备注:
产品描述

C9819.jpg

C9819

Sigma-Aldrich

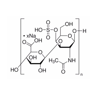
硫酸软骨素A 钠盐 来源于牛气管


lyophilized powder, BioReagent, suitable for cell culture


别名:

交替共聚合β-葡萄糖醛酸-(1→3)-N-乙酰基-β-半乳糖胺-4-硫酸盐-(1→4)

CAS号:

39455-18-0

MDL编号:

MFCD00130792

NACRES:

NA.75


属性

生物来源

bovine trachea


质量水平

200


产品线

BioReagent


形式

lyophilized powder


包装

poly bottle of 25 g

poly bottle of 5 g


technique(s)

cell culture | mammalian: suitable


表面覆盖度

20‑2000 μg/cm2


运输

ambient


储存温度

2-8°C


说明

应用

软骨素在软骨细胞,中性细胞和一些肿瘤细胞中起到调节作用。硫酸软骨素B被用来研究ß肽链(1-42) 细胞毒性。


生化/生理作用

作为一个大分子的,带负电的,亲水分子,它形变能力差,无法折叠成致密球状结构,硫酸软骨素分子形成多孔水合凝胶,为组织提供机械支撑,支持水溶分子快速扩散和细胞迁移。


组分

硫酸软骨素A是一种存在于软骨,皮肤,角膜和脐带中的酸性黏多糖。 它是由交替N-乙酰半乳糖胺,D-葡萄糖醛酸,和硫酸盐残基等摩尔组成,N-乙酰半乳糖胺的碳4倍硫酸化。


注意

请将产品储存在2-8°C。


制备说明

将本品以100mg/ml的浓度溶于水。


分享到:
批量询价
相关产品
选择 产品名称 货号 规格 品牌 分类 研究领域 目录价 操作
Sigma C6905 β-酪蛋白 来源于牛奶(β-Casein from bovine milk) | 9000-71-9 C6905 250mg;1g 询价
Sigma T0625 牛磺酸(Taurine) | 107-35-7 T0625 10mg;10g;25g;100g;500g;1kg 询价
Sigma 57310 吲哚丁酸(Indole-3-butyric acid) | 133-32-4 57310 5g;25g;100g 询价
Sigma I5386 吲哚丁酸(Indole-3-butyric acid) | 133-32-4 I5386 1g;5g;25g 询价
Sigma M2069 D-(+)-甘露糖(D-(+)-Mannose) | 3458-28-4 M2069 25g;100g;100g;500g 询价
Sigma M6020 D-(+)-甘露糖(D-(+)-Mannose) | 3458-28-4 M6020 25g;100g;500g 询价