加入收藏 您好,维百奥生物为您提供专业、专心的产品和服务! | MALL-EN | 中文商城
购物指南 支付方式 配送方式 企业QQ:1877748443 一级特黄AAA大片在线观看 电子邮箱:[email protected]
咨询请直拨:136-9140-9741 / International: +86-13691409741
全国免费热线:400-001-2615
 我的询价单 会员中心
产品名称 Sigma - M0512 - 甲基纤维素
货号: M0512 规格:
品牌: Sigma-Aldrich 价格:
产品分类: 特价奥特莱斯专区 研究领域:
CAS编号: 9004-67-5 分子量:
分子式: 别名:
储存条件: 运输条件:
货期: 应用:
说明书: 备注:
产品描述

Sigma - M0512 - 甲基纤维素.jpg

M0512

Sigma-Aldrich

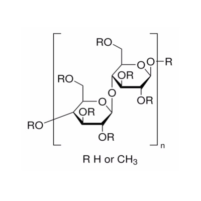
甲基纤维素


viscosity: 4,000 cP

CAS号:

9004-67-5

MDL编号:

MFCD00081763

PubChem化学物质编号:

24896558

NACRES:

NA.25


属性

生物来源

wood (pulp cellulose)


质量水平

200


形式

powder


颜色

white to off-white


粘度

3,500-5,600 cP, 2 % in water(20 °C)


溶解性

water: 20 mg/mL, clear to hazy, colorless to light yellow


储存温度

room temp


SMILES string

[*]OC[C@H]1O[C@@H](O[C@@H]2[C@@H](CO[*])O[C@@H](O[*])[C@H](O[*])[C@H]2O[*])[C@H](O[*])[C@@H](O[*])[C@@H]1O[*]


InChI key

YLGXILFCIXHCMC-JHGZEJCSSA-N


说明

一般描述

甲基纤维素是一种水溶性非离子聚合物,具有亲水性糖苷键,衍生自多糖纤维素。


应用

甲基纤维素用于:

菌落形成分析

精子活力评估

球状体生成

琼脂珠制备


生化/生理作用

甲基纤维素通过乳化作用使油、水和空气混合物(如泡沫)保持稳定。甲基纤维素用作各种粘合剂的粘结剂和增稠剂。

也是用于治疗便秘的物质。


其他说明

To gain a comprehensive understanding of our extensive range of Polysaccharides for your research, we encourage you to visit our Carbohydrates Category page.


分享到:
批量询价
相关产品
选择 产品名称 货号 规格 品牌 分类 研究领域 目录价 操作
Sigma C6905 β-酪蛋白 来源于牛奶(β-Casein from bovine milk) | 9000-71-9 C6905 250mg;1g 询价
Sigma T0625 牛磺酸(Taurine) | 107-35-7 T0625 10mg;10g;25g;100g;500g;1kg 询价
Sigma 57310 吲哚丁酸(Indole-3-butyric acid) | 133-32-4 57310 5g;25g;100g 询价
Sigma I5386 吲哚丁酸(Indole-3-butyric acid) | 133-32-4 I5386 1g;5g;25g 询价
Sigma M2069 D-(+)-甘露糖(D-(+)-Mannose) | 3458-28-4 M2069 25g;100g;100g;500g 询价
Sigma M6020 D-(+)-甘露糖(D-(+)-Mannose) | 3458-28-4 M6020 25g;100g;500g 询价