加入收藏 您好,维百奥生物为您提供专业、专心的产品和服务! | MALL-EN | 中文商城
购物指南 支付方式 配送方式 企业QQ:1877748443 一级特黄AAA大片在线观看 电子邮箱:[email protected]
咨询请直拨:136-9140-9741 / International: +86-13691409741
全国免费热线:400-001-2615
 我的询价单 会员中心
产品名称 Katchem TEHDGA CAS#669087-46-1 货号611
货号: 611 规格: 5g、10g、20g、50g、100g
品牌: Katchem 价格: ¥请咨询
产品分类: 化学试剂 研究领域: 有机-无机化合物
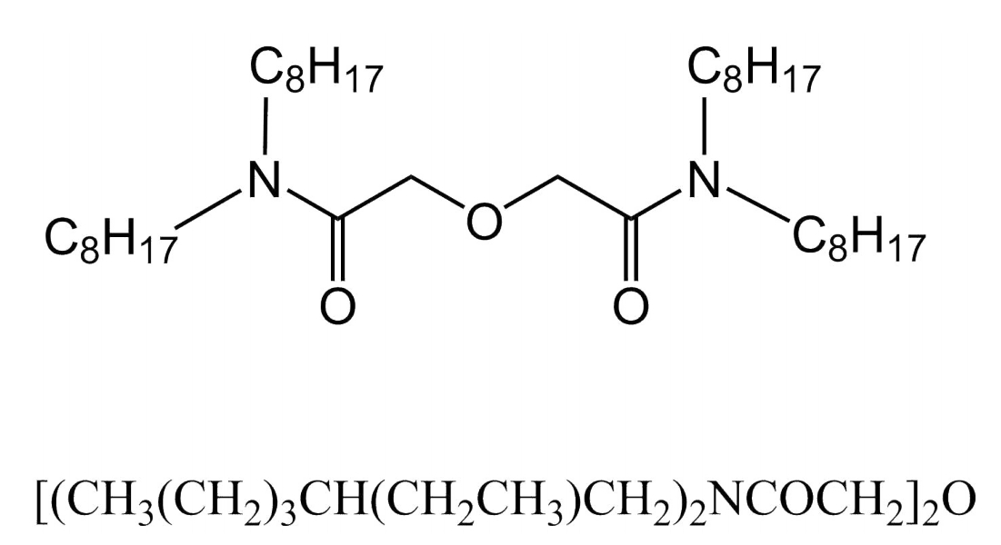
CAS编号: 669087-46-1 分子量: 580.97
分子式: [(CH3-(CH2)3CH(Et)CH2)2NC(O)CH2]2O 别名: TEHDGA
储存条件: 负20℃ 运输条件: 请咨询
货期: 请咨询 应用: 仅用于科研
说明书: 跟客服代表索取 备注:
产品描述


▎产品信息

611.png产品名称:TEHDGA;

产品编码:611;

产品级别:普通(Safe goods);

分子式:[(CH3-(CH2)3CH(Et)CH2)2NC(O)CH2]2O;

CAS号:669087-46-1;

分子量:580.97;

规格:5g、10g、20g、50g、100g;

分类1:Nonboric?derivatives(Isotopic enrichment: 7Li >99.8%);

分类2:N/A



分享到:
批量询价
相关产品
选择 产品名称 货号 规格 品牌 分类 研究领域 目录价 操作
Katchem Sodium borohydride(11B)CAS#72901-46-3 货号396 396 1g、2g、5g、10g 有机-无机化合物 ¥请咨询 询价
Katchem p-Carborane(10B) 货号644 644 1g、5g、10g 有机-无机化合物 ¥请咨询 询价
Katchem 1-Hydroxymethyl-m-carborane CAS#53257-04-8 货号249 249 1g、5g、10g 有机-无机化合物 ¥请咨询 询价
Katchem o-Carborane-1-carbonylchloride CAS#61653-92-7 货号598 598 1g、2g、5g 有机-无机化合物 ¥请咨询 询价
Katchem 1-Mercapto-decaborane CAS#72620-97-6 货号510 510 1g、2g、5g、10g 有机-无机化合物 ¥请咨询 询价
Katchem Cesium dodecachlorododecaborate CAS#1158949-97-3 货号816 816 5g、10g、25g、100g 有机-无机化合物 ¥请咨询 询价