加入收藏 您好,维百奥生物为您提供专业、专心的产品和服务! | MALL-EN | 中文商城
购物指南 支付方式 配送方式 企业QQ:1877748443 一级特黄AAA大片在线观看 电子邮箱:[email protected]
咨询请直拨:136-9140-9741 / International: +86-13691409741
全国免费热线:400-001-2615
 我的询价单 会员中心
产品名称 HC0613.53 – Acrylic PEG
货号: HC0613.53 规格: 详询客服
品牌: Hybrid Plastics 价格:
产品分类: 材料学试剂 研究领域: 材料学;倍半硅氧烷
CAS编号: 分子量: 2523.2
分子式: 别名: Acrylic PEG
储存条件: 常温 运输条件: 常温
货期: 应用: 材料;生物工程材料;表面材料
说明书: 详询客服 备注:
产品描述

HC0613.53(1).jpg

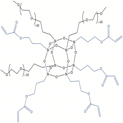
HC0613.53 – Acrylic PEG

常用倍半硅氧烷材料,请咨询维百奥生物。


HC0613.XY-Acryl-PEG-Cage-Mixtures-GHS-SDS-EN-v1.1.pdf

HC-0613.53-TDS-10132022.pdf


Description

Acryl PEG POSS® is a molecular union of both functional chemistry and inorganic-organic compositions.


APPLICATIONS:

Surface energy control, Wetting and plasticization. Additionally dispersion and rheological diluency can be realized

in certain formulations.

The reactive acryl groups provide for cross linking while the peg arms serve as dispersants, plasticization, 

and gloss effects. The HC0613.53 provides a very effective balance of viscosity reduction, dispersion and cross linking.


COMPATIBILITY

Acryl PEG POSS® is provided in neat form. It is intended to be utilized as an additive. At additive concentrations 

compatibility is expected with a wide range of resins and monomers bearing similar chemical functionality. 

Compatibility testing is recommended for higher concentrations.


KEY PROPERTIES

Formula Weight: 2523.28 for octamer

Appearance: Clear, colorless liquid

Viscosity (@25°C): 180-190 mPa s

RI (@17.5 °C): 1.4689

Solubility: Water, alcohols, acetates, and nearly all aromatic/aliphatic epoxy, acrylic, and urethane resins.

Insolubility: Cyclohexane,  silicones-white suspension


ADDITIONAL DETAILS

Methacryl PEG POSS® is a provided as a mixture of cages sizes 8, 10, 12. 

The organic groups are randomly distributed around each cage core. 

The molar ratio of methacryl and PEG groups is 5:3 for HC0713.53

The distribution of cage size, and functionality around the cage core is analogous to that for functional copolymers.

Heteroleptic Cage POSS are represented by the catalog designation HC. 

The structure shown is idealized and should not be considered exact. MOLAR RATIOS AVAILABLE

6:2  Acryl:PEG product number HC0613.31

5:3  Acryl:PEG product number HC0613.53*

2:6  Acryl:PEG product number HC0613.13*

*water soluble




分享到:
批量询价
相关产品
选择 产品名称 货号 规格 品牌 分类 研究领域 目录价 操作
MA0702 – Methacrylpropyloisobutyl POSS MA0702 详询客服 询价
HC1110.71 Vinyl iso-Octyl POSS HC1110.71 详询客服 材料学;倍半硅氧烷 询价
HeteroCage-POSS® 详询客服 材料学;倍半硅氧烷 询价
TH1555 – Mercaptopropyl isooctyl POSS TH1555 详询客服 材料学;倍半硅氧烷 询价
SO1458 – Trisilanol phenyl POSS SO1458 详询客服 材料学;倍半硅氧烷 询价
SO1455 – TriSilanollsooctyl POSS SO1455 详询客服 材料学;倍半硅氧烷 询价